LaTeX templates and examples — Journal articles
Discover a wide range of academic journal LaTeX templates for articles and papers which automatically format your manuscripts in the style required for submission to that journal.
Recent

Author template for Management Science (mnsc) for articles with e-companion (EC) Mirko Janc, Ph.D., INFORMS, mirko.janc@informs.org ver. 0.95, December 2010

A template for the Soft Robotics (SoRo) Journal, published by Mary Ann Liebert, Inc.

Please use this template for submissions to the journal Linguistics: An Interdisciplinary Journal of the Language Sciences"

Author style for INFORMS Transactions on Education (ited) Mirko Janc, Ph.D., INFORMS, pubtech@informs.org ver. 0.92, June 2009

The Beilstein Journal of Nanotechnology is an international, peer-reviewed, Open Access journal published and financed by the Beilstein-Institut. The journal publishes original articles on all aspects of Nanoscience and Nanotechnology. It provides a broad coverage of both fundamental and applied research, including aspects of chemistry, physics and biology as well as materials science and engineering.

This general template aims to serve as an advanced, feature-filled, place-holder template during the drafting and submission process. It is a general academic article manuscript template, which conforms to general guidelines (double-spaced, Times New Roman, etc.) and can easily be adapted to the exact specifications of any journal's manuscript submission guidelines. It includes some added features such as a cover page, line-numbering, draft watermarks, word count, and highlighting and commenting capabilities.

Template для журнала Ученые записки Казанского университета. Серия Физико-математические науки

This template is for authors who are preparing a manuscript for a Taylor & Francis journal using the LaTeX document preparation system and the interact class file and the Chicago reference style, which is available via selected journals' home pages on the Taylor & Francis website.

Nuclear Science and Techniques (NST) is an international, peer-reviewed scientific journal sponsored by Shanghai Institute of Applied Physics, Chinese Academy of Sciences and the Chinese Nuclear Society. It was established in 1990 as a quarterly journal and had been changed to a monthly frequency in 2017. The journal is devoted to applied nuclear physics; fundamental study of nuclear energy; application of nuclear techniques in various fields; radiochemistry and radiation chemistry; nuclear instruments and methods. The publication of the journal is aimed at enhancing academic exchange between Chinese and foreign scientists, and at promoting development of nuclear science and techniques and their applications. NST has been indexed by SCI-E, CA in US, SA in UK and РЖ in Russia. The editor-in-chief is Prof. Yu-Gang Ma.
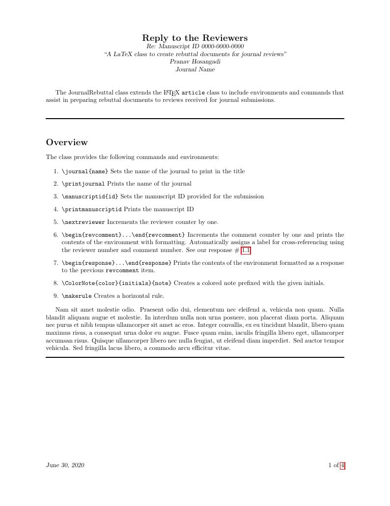
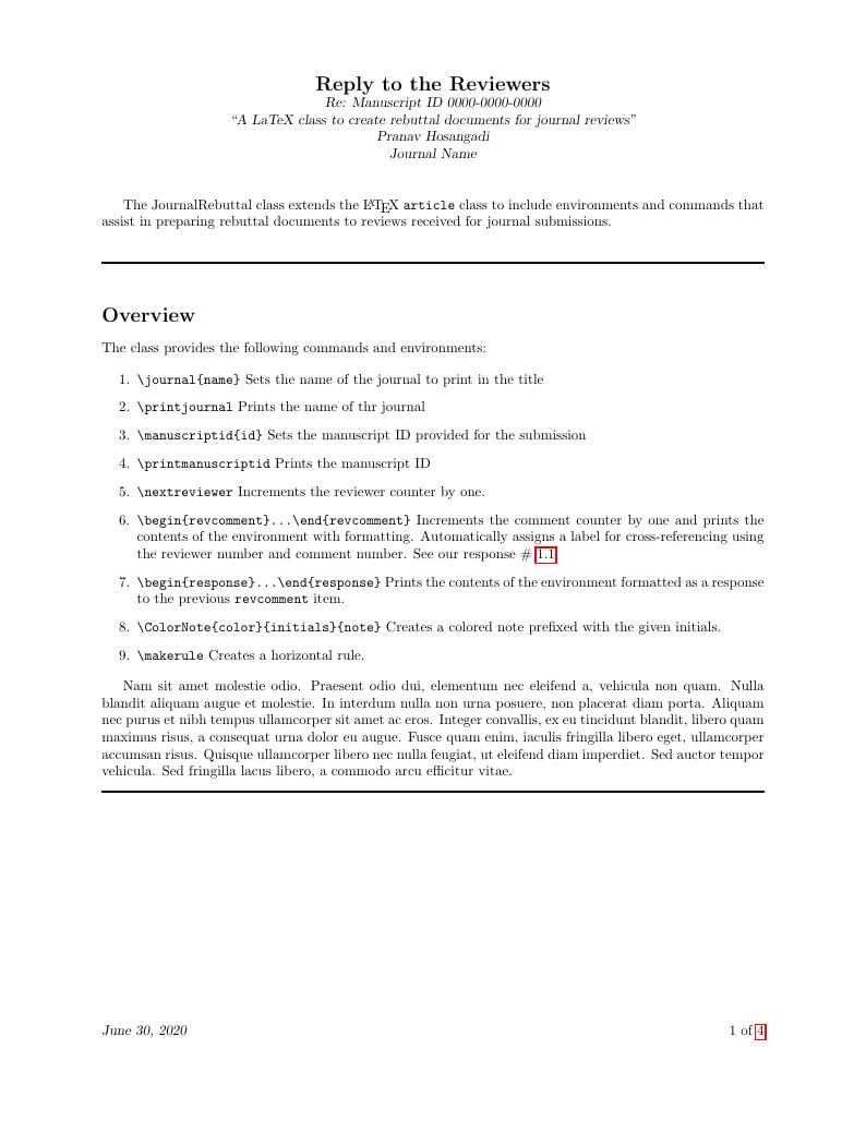
\begin
Discover why over 25 million people worldwide trust Overleaf with their work.