overleaf template galleryLaTeX templates — Recent
LaTeX templates for journal articles, academic papers, CVs and résumés, presentations, and more.

This is a slight modification to the default template provided by writeLaTeX with some instructional commenting. This is meant to provide a template for students who wish to use LaTeX to type their projects in my class.

Plantilla para el manuscrito principal del MBD de ICAI

This template is for preparing publications for The International Journal of Universal Computer Science, https://lib.jucs.org/ Submission will only be dealt with if your paper is written in flawless English and is formatted according with the J.UCS Style Guide; Please follow carefully the Submission Guidelines https://lib.jucs.org/about#AuthorGuidelines

My documentation report Objetive: Explain what I did and how, so someone can continue with the investigation Important note: Chapter heading images should have a 2:1 width:height ratio, e.g. 920px width and 460px height.

tạo bìa đơn giản

Presentación para la universidad Nacional, colores oficiales y orientada a ingeniería (datos, algoritmos) por secciones

Letterhead template for the Instituto Nacional de Pesquisas Espaciais (INPE, or National Institute for Space Research) in Brazil.

A template for the B1 mini-project. Part of the Engineering Science degree at the University of Oxford.

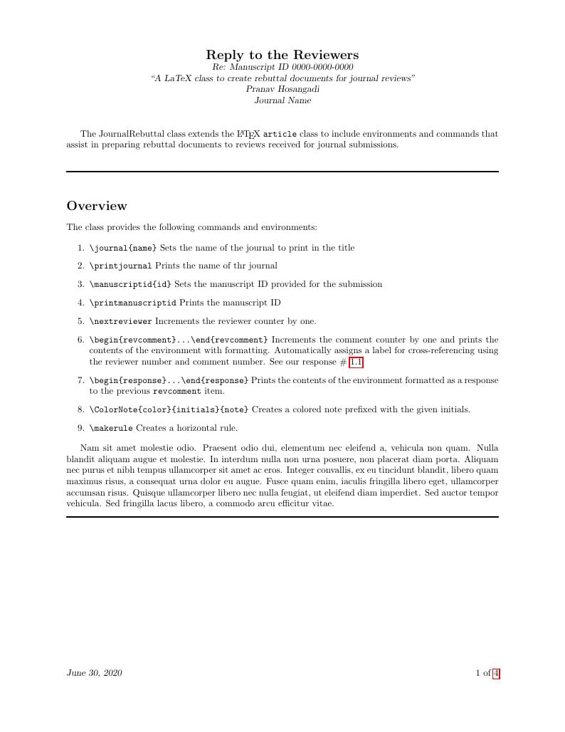
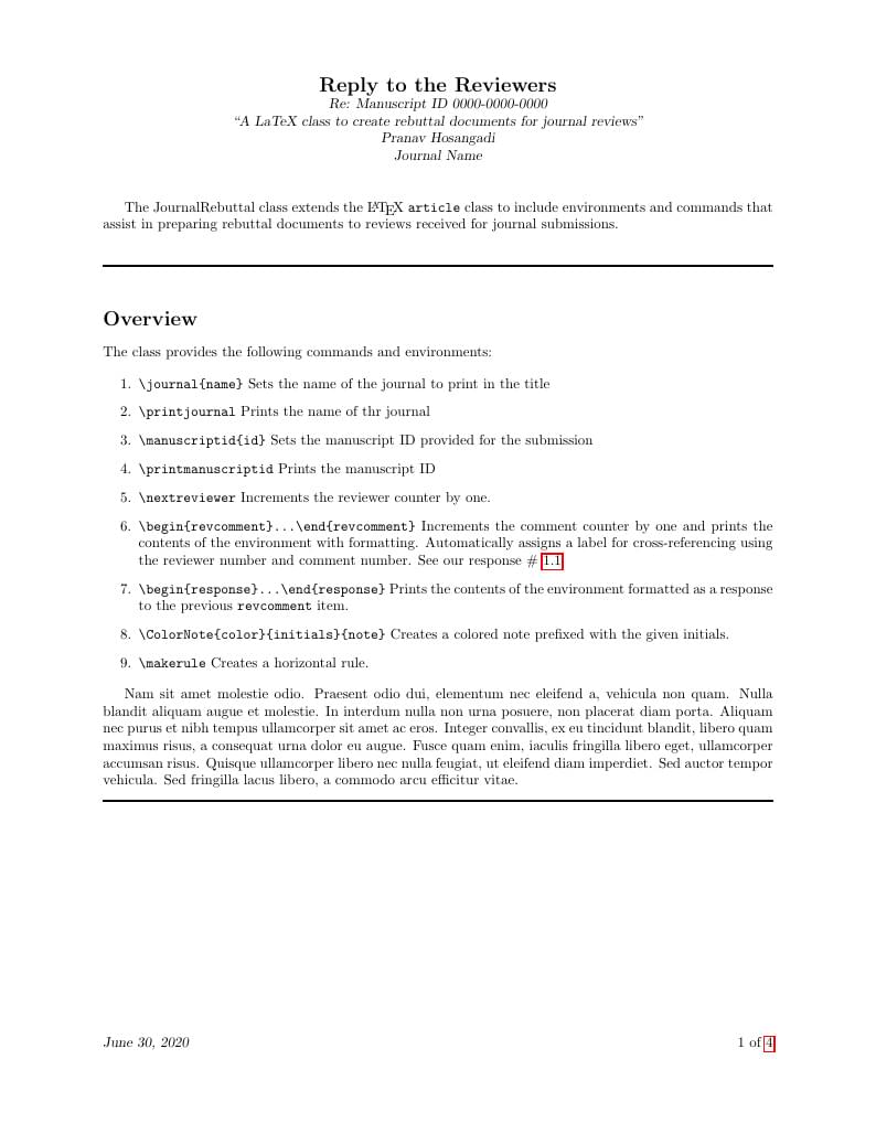
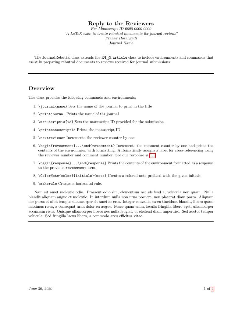
A template for writing rebuttal letters to reviews for journal submissions. Github repository: https://github.com/pranavh/JournalRebuttal_LaTeX/
\begin
Discover why over 25 million people worldwide trust Overleaf with their work.