overleaf template galleryLaTeX templates — Recent
LaTeX templates for journal articles, academic papers, CVs and résumés, presentations, and more.

The official Springer Nature authoring template for LaTeX submissions. The template takes a content first approach with minimal formatting. It is designed to promote editorial policy best practice and contains options to help authors meet journal-level requirements. Latest update: December 2024.

PSI proposal template for combined Bernina/ ADDAMS applications.

This is a template for research articles in journal "Modern Stochastics: Theory and Applications". This template was obtained from: https://www.vmsta.org/journal/VMSTA

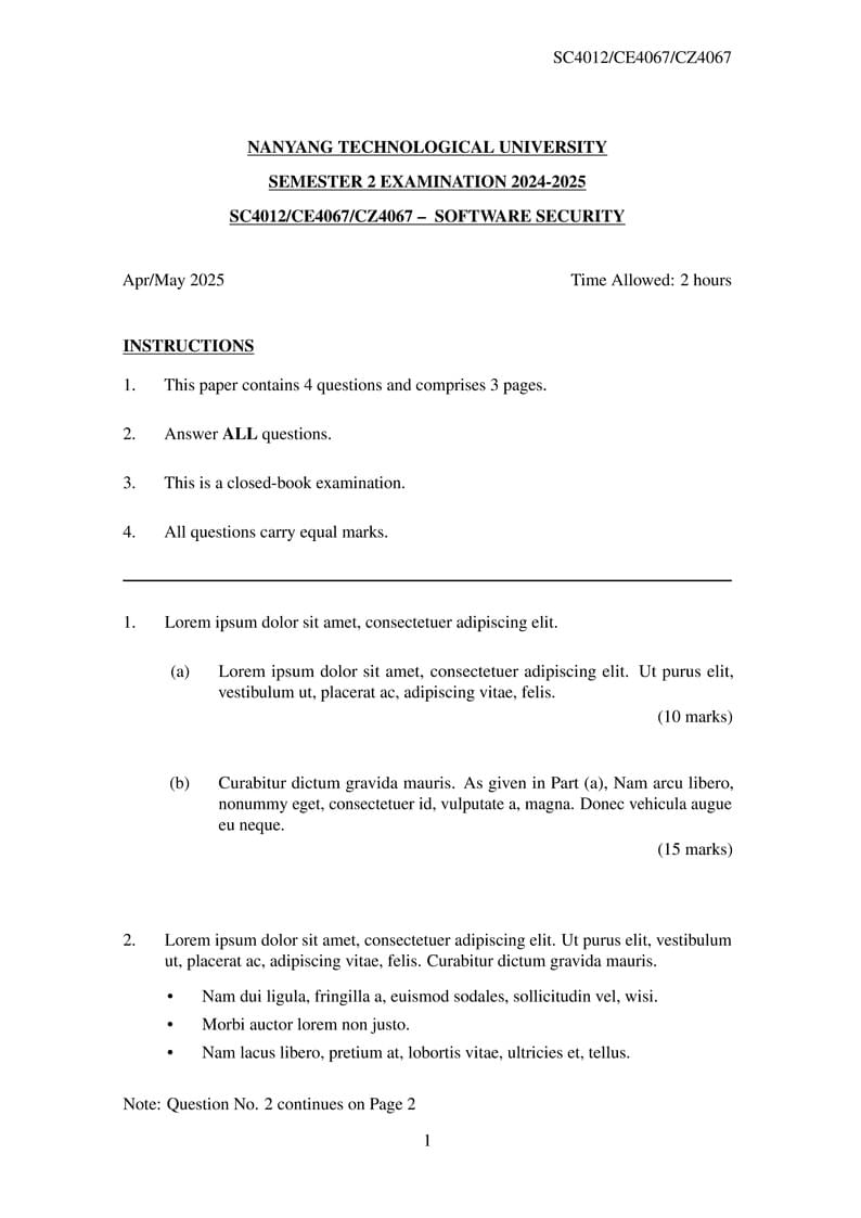
This project provides a LaTeX template for typesetting exam papers, which conform with the formatting guideline of the Nanyang Technological University (NTU). GitHub Repo: https://github.com/liyistc/ntu-exam

This template contains instructions and formatting for authors wishing to submit a manuscript to the McGill Science Undergraduate Research Journal (MSURJ) in LaTeX. Authors can write in the template by clicking on the Open as Template button, above. Please visit https://msurjonline.mcgill.ca/about/submissions for more information on submitting to MSURJ.

This is a modified version based on SHU and THU recommendation letter template for Hohai University students. Color and Logo are revised. Recently the theme color of the HHU has changed. No commerical font is included

This is the official template for submissions to the “Lecture Notes in Informatics” Version v2.0 2025-02-05 More information at https://ctan.org/pkg/lni The template also contains the latest version of biblatex-lni

Modèles d'offres d'emploi IPGP

English template for Lithuanian Journal of Statistics. https://www.journals.vu.lt/statisticsjournal
\begin
Discover why over 20 million people worldwide trust Overleaf with their work.