overleaf template galleryLaTeX templates — Recent
LaTeX templates for journal articles, academic papers, CVs and résumés, presentations, and more.

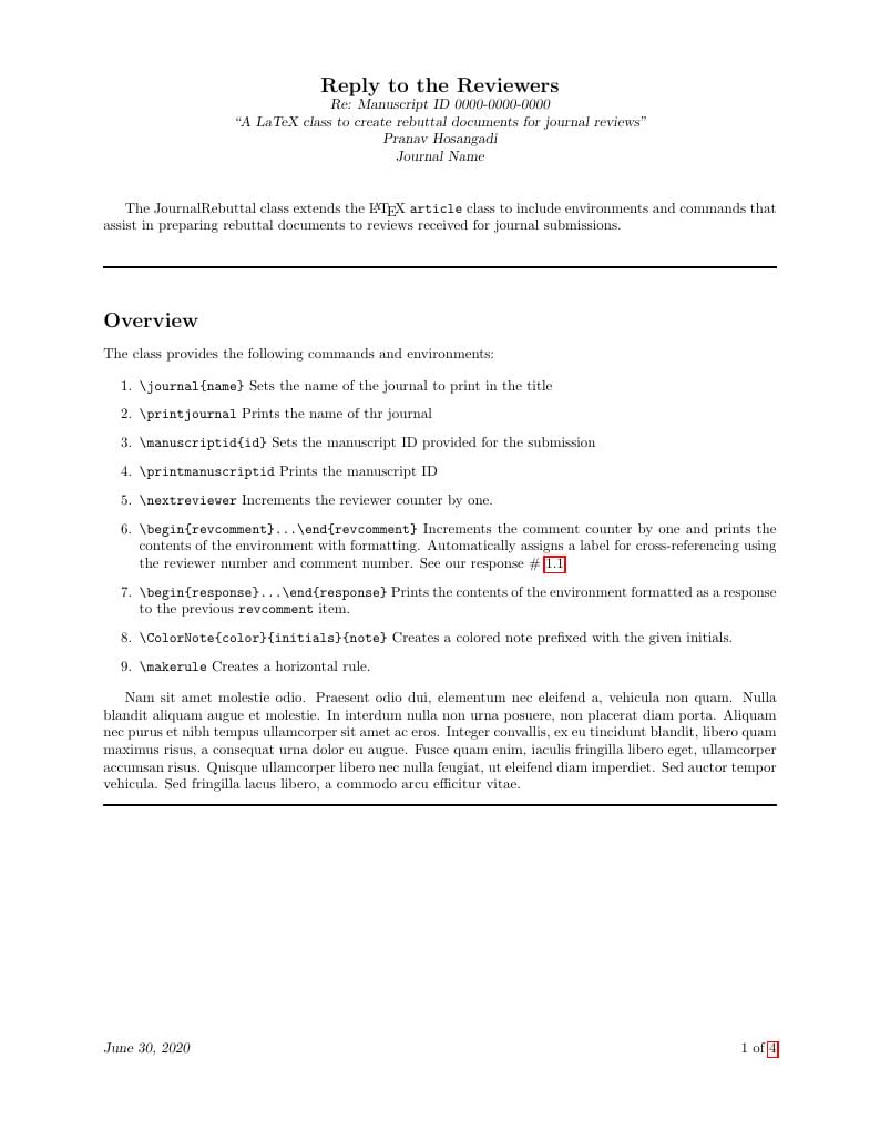
A template for writing rebuttal letters to reviews for journal submissions. Github repository: https://github.com/pranavh/JournalRebuttal_LaTeX/

Template para elaboração do projeto de Trabalho de Conclusão de Curso para a Escola de Matemática Aplicada FGV-EMAp

Se presenta una plantilla básica para la elaboración de un paper.

Letter of Interest (LOI) template for the Snowmass2021 process. More details on Snowmass LOIs can be found here: https://snowmass21.org/loi

A simple template for sales invoices to send to clients/customers for goods or services provided.

Official template for IPGP's letters with all required logos.

Inspired by Zhijian Jiang's "Cheat Sheet For Programming" and the Cheatography cheat sheet format. Personally, I enjoy using this template because it's visually appealing and the listings package makes adding code chunks effortless.

This is the up-to-date latex template for submissions to the Mass Timber Construction Journal. Any enquiries, please contact rodrigofmourao@gmail.com.

A simple tech report template, based on MIT's AI Memo 519a by Richard Stallman, back from 1981. It was the second (I think) take on the Emacs paper, which later appeared on ACM's Conference on Text Processing. Licensed under a GPL License, and hence free to use, modify and sell as long as the license is kept the same. More information can be found on the LICENSE file.
\begin
Discover why over 20 million people worldwide trust Overleaf with their work.