overleaf template galleryLaTeX templates — Recent
LaTeX templates for journal articles, academic papers, CVs and résumés, presentations, and more.

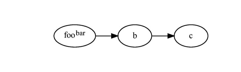
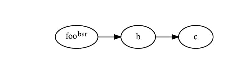
An example of the graphviz package, which uses dot in the background to draw graphs. Add \usepackage[pdf]{graphicx} to get HTML-like labels working.

Template for IUCr conference abstracts. For more information, please see IUCR's instructions.

A template for a CV for a undergraduate student or graduate student. Fields for publications, presentations, education and job experience.

This template was downloaded from here (so it's rather old), but you probably don't really need a LaTeX template — APS provides a form-based submission interface that would eventually generate the PDF via LaTeX anyway. This template is here for you to preview you abstract — it may not exactly resemble the final output as generated by APS' submission page.

Template with project details on top of every page with normal document margins (i.e. 1 inch).

This can be used to start any portfolio problem for MTH 210.

Template for C240 Models of Computation Assessed Coursework 2 Contains macros for typesetting register machines in textual, graphical and encoded formats. Department of Computing, Imperial College London This work is released into the Public Domain.

A template for problem sets, set up to enter blocks of equations, images and arrays.

This template provides a structure for preparing NSF grant applications according to their formatting guidelines It is provided by MIT-MATH to help you use LaTeX for writing your NSF proposals. Please start by reading MIT-MATH's instructions in the Guide to Using the NSFmaster Template, and then click the button above to open the template for editing online with Overleaf.
\begin
Discover why over 20 million people worldwide trust Overleaf with their work.